Blog
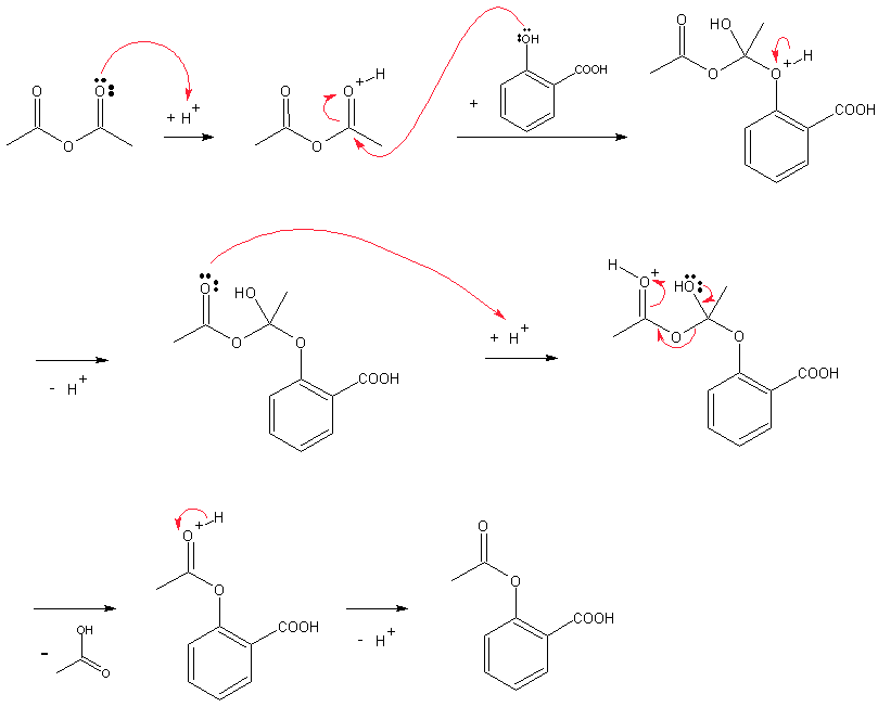
アセチル サリチル酸 の 合成
abeno harukas observation deck
belkin high speed hdmi cable supports ethernet 3d 4k 1080p gold plated audio return 3 3 feet black
18 世紀 フランス 貴族
a10攻击机
air max 90 flyknit black and white
45 歳 女性 魅力
belkin high speed hdmi cable with ethernet 1m
1st grade free printable days of the week worksheets
アセチルサリチル酸の合成
放課後化学講義室 今日の分子no 57 アセチルサリチル酸
アセチルサリチル酸の合成
Http Www Jst Go Jp Cpse Jissen Pdf Houkoku Sg150017 Matome2017 009 Pdf
有機反応を俯瞰する ー縮合反応 Chem Station ケムステ
アスピリンの科学
アセチル サリチル酸 アセチルサリチル酸の合成での収率について
File アセチルサリチル酸の合成式 Svg Wikimedia Commons
収率の計算はこういうふうにやるのです Life Chemistry
放課後化学講義室 高校の有機化学は化学的でない
サリチル酸の構造 性質 製法 反応
サリチル酸の構造 性質 製法 反応
有機反応を俯瞰する ー縮合反応 Chem Station ケムステ
サリチル酸メチルの合成 化学がちょっとだけ好きな社労士
5 3 1 医薬品
実験化学 54
アセチルサリチル酸の合成
サリチル酸 とサリチル酸メチルとアセチルサリチル酸 の構造式と医学的利用 Irohabook
Aspirin
2018 第4問 問5 アセチルサリチル酸の合成 化学がちょっとだけ好きな社労士
Source :
pinterest.com
Random Posts
誕生 日 メッセージ ケーキ
観覧 車 イラスト 簡単
電気 回路 記号 一覧
赤ちゃん 食物 アレルギー 症状 写真
雪 岳山 国立 公園
見 ざる 聞か ざる 言わ ざる イラスト
豚 画像 可愛い イラスト
電子 部品 記号 一覧
赤ちゃん が 泣く 夢
誕生 日 マスキング テープ
赤ちゃん 画像 日本 人
軽食 自動 販売 機
誕生 日 メッセージカード イラスト 無料
階段 を 上る イラスト
過食 症 ブログ 写真
豹 チーター ジャガー ピューマ 違い
誕生 日 画像 花束
読ん では いけない 本15冊
誕生 日 おめでとう イラスト 無料
誕生 日 ケーキ イラスト